Abstract
Introduction
Nicotinamide-expanded cord blood (NiCord) is a promising alternative source for allogeneic hematopoietic cell transplantation (HCT) when an HLA-matched donor is unavailable. A phase 1/2 trial with standalone NiCord HCT showed rapid neutrophil engraftment (median 11 days) and platelet engraftment (median 34 days). However, successful CD4+ immune reconstitution (IR) has shown to be crucial for infectious and relapse control associated with favorable survival (Admiraal JACI 2017). We performed unique in-depth immune monitoring to evaluate and compare the recovery of immune subsets after NiCord and conventional HCT.
Methods
In the phase1/2 multicenter trial, patients (n=36) with hematologic malignancies received NiCord-HCT after myeloablative (MA) conditioning without antithymocyte globulin (ATG). Immune monitoring was performed (harmonized sampling, handling and analyses in a central lab) in a random subgroup. The primary endpoint was probability of achieving CD4+ IR (>50*106/L within 100 days). Secondary endpoints were subset recovery over time of B-cells, CD4+ and CD8+ T-cells, natural killer (NK), monocytes, and dendritic cells (DC), during 7-365 days after HCT. In addition, TREC analyses are pending and will be available at the meeting. Data were compared with IR in cohorts of adolescent and young adult (AYA) patients at the UMC Utrecht receiving either unmanipulated cord blood transplantation (unCBT) or T-repleted unrelated bone marrow transplantation (BMT) for hematological malignancy after MA conditioning without ATG. Linear-mixed effects modelling in LOESS-regression curves and two-sided log-rank test for univariate comparisons in cumulative incidence plots were used.
Results
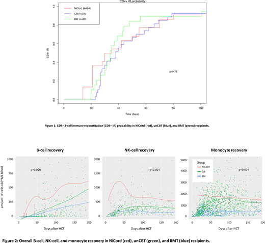
24 NiCord recipients (median 41.5; 13.4-61.7 yrs) had blood samples available for in-depth early immune monitoring. NiCord cell dose consisted of median 6.4*106 CD34+/kg, and 2.3*106 CD3+T-cells/kg of the co-infused negative fraction (following CD133+-selection). 91% of patients achieved successful early CD4+ IR after NiCord (Fig 1). When comparing the NiCord with 27 unCBT (median age 15.4; range 12.2-22.1 yrs) and 20 BMT (median age 14.3; range 12.1-19.7 yrs), no difference in probability of early CD4+ IR was noted (p=0.76: Fig 1). Overall T-cell reconstitution was similar; CD3+ (p=0.99), CD4+ (p=0.71), CD8+ (p=0.08), although effector and central memory CD4+ and CD8+ T-cells, Tregs, gamma-delta T-cells, Th2, and Th17 recovered somewhat faster after NiCord. Recovery of conventional- (p=0.41) and plasmacytoid DCs (p=0.52) was similar as well. Overall reconstitution of NK-cells (p<0.001); especially naïve NK-cells, monocytes (p<0.001); mostly classical, and B-cells (p=0.026) was faster after HCT with NiCord, compared to unCBT and BMT cohorts (Fig 2). In B-cell recovery, strikingly faster early recovery of follicular B-cells (p=0.04), memory B-cells (p=0.003), and plasma cells (p=0.003) was observed in NiCord recipients.
Conclusions
In-depth immune monitoring reveals rapid and robust immune reconstitution in NiCord recipients, with high early CD4+ IR probability, and comparable recovery of T-cell-, NK-cell-, monocyte-, and DC-subsets to AYA controls receiving unCBT and BMT. Interestingly, B-cell recovery consisted of markedly higher follicular B-cell, memory B-cell, and plasma cell levels in NiCord recipients. Next to higher B-cell recovery, monocyte and NK-cells also recovered faster after NiCord transplantation, despite the younger age of the AYA cohort (expected to reconstituted faster). This may be explained by the higher stem cell dose and higher proliferative capacity of the NiCord- expanded product. Optimal comparison of IR in NiCord vs. unCBT in a randomized phase 3 trial is underway.
Horwitz:Gamida Cell: Research Funding. Jagasia:Incyte Corporation: Membership on an entity's Board of Directors or advisory committees. Wagner:Magenta Therapeutics: Consultancy, Research Funding; Novartis: Research Funding. Cilloni:Janssen: Membership on an entity's Board of Directors or advisory committees; celgene: Membership on an entity's Board of Directors or advisory committees. Nierkens:Gamida: Research Funding.
Author notes
Asterisk with author names denotes non-ASH members.

This feature is available to Subscribers Only
Sign In or Create an Account Close Modal